基本情報技術者試験の過去問と解説
[TOP] [午前分野別] [午後分野別] [キーワード索引] [令和元年秋午前] [令和元年秋午後]

平成28年 秋期 基本情報技術者 午前 問06
問06   2分探索木

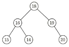
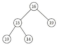
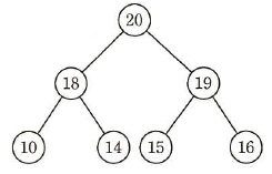
 2分探索木になっている2分木はどれか。

ア       イ 

ウ       エ 


解答←クリックすると正解が表示されます

解説

 2分探索木は、どのノードに着目しても、

 左部分木のノードのキーの最大値 < キー値 < 右部分木のノードのキーの最小値

 が成立する。図の赤の部分がこの条件が成立しない。


[←前の問題] [次の問題→] [問題一覧表] [分野別] [キーワード索引] [基本情報技術者試験TOP ]
©2004-2025 情報処理試験.jp |  プライバシーポリシー・著作権・リンクお問合わせ